Ad Code

Template Pelaporan Bm Tahun 5

PBD sebelum ini dikenali sebagai PS Pentaksiran Sekolah di mana ia dilaksanakan secara. Terdapat beberapa aspek yang perlu diambil kira dalam templat pelaporan tersebut.


Borang Transit Pbd Bahasa Melayu Tahun 5

Muat Turun Download Templat Pelaporan DSKP KSSR Bahasa Tamil SK Tahun 5.

. PELAPORAN DSKP KSSR TAHUN 5 - PENDIDIKAN. Bermula tahun ini 2018 Bahagian Pembangunan Kurikulum Kementerian Pendidikan Malaysia telah memuat naik templat pelaporan yang baharu yang dinamakan sebagai Pelaporan Pentaksiran Bilik Darjah PBD untuk kegunaan semua peringkat sekolah sama ada peringkat sekolah rendah KSSR mahupun sekolah menengah KSSM. Para guru harus peka dengan komponen tersebut agar tidak kehilangan data murid.

Graf Pencapaian Kelas 2 Guru hanya perlu mengisi helaian MAKLUMAT SEKOLAH dan SENARAI SEMAK sahaja. TEMPLAT PELAPORAN DSKP OFFLINE Spm Bahasa Skema Kertas Melayu 2019 Jawapan 2 J0K6Q1 Pelaporan DSKP Bahasa Melayu Tahun 5. Templat Pelaporan PBD Pentaksiran Bilik Darjah KSSR Tahun 3.

Template yang dikongsikan ini menggabungkan semua mata pelajaran yang dipelajari pada tahun tersebut. Mengapakah tiada surat siaran atau pekeliling untuk melaksanakan PBD. Pelaporan BM Tahun 5 2Pelaporan BI Tahun 5 3Pelaporan BC Tahun 5 4Pelaporan Islam Tahun 5 5Pelaporan Math Tahun 5 6Pelaporan Moral Tahun 5 7Pelaporan MuzikTahun 5 8Pelaporan PJ Rekreasi Tahun 5 81 Pelaporan PJ Akuatik Tahun 5 9Pelaporan PK Tahun 5 10Pelaporan RBT Tahun 5 11Pelaporan Sains Tahun 5 12.

PBD Pentaksiran Bilik Darjah ialah sebahagian daripada komponen dalam Pentaksiran Berasaskan Sekolah. Komponen Am yang terdapat dalam templat tersebut termasuklah Rekod Prestasi Murid Laporan Murid Individu Panduan Graf Pelaporan serta Data Pernyataan Tahap Penguasaan. Template Offline Pelaporan Muzik Tahun 5.

Berikut merupakan Template PBD Tahun 5 KSSR Semakan SK SJK. Templat Pelaporan PBD Tahun 4 SK 2020aXls. Pelaporan DSKP BT SJKT Tahun 5zip.

Pelaporan DSKP BT SK Tahun 5zip. Pentaksiran Bilik Darjah PBD merupakan pentaksiran yang berterusan dalam sesi pengajaran dan pembelajaran bagi mendapatkan maklumat tentang perkembangan kemajuan. Templat Pelaporan PBD Tingkatan 5 adalah sebahagian daripada komponen di dalam Pentaksiran Berasaskan Sekolah PBS Tingkatan 5.

TAHAP TAJUK TAFSIRAN PENGUASAAN INSTITUSI RAJA 6. Himpunan Templat Pelaporan PBD Tahun 5 adalah sebahagian daripada komponen di dalam Pentaksiran Berasaskan Sekolah PBS Tahun 5. GURU BESAR fff NAMA SEKOLAH ALAMAT SEKOLAH PENTAKSIRAN MATA PELAJARAN SEJARAH TAHUN 5 Nama Murid.

Tapak pelaporan PBD Tahun 5 KSSR Semakan. Muat Turun Modul PBS Offline Rekod Pentaksiran KSSR Tahun 5 SK Dicatat oleh Unknown di 1043 PTG. 1 TEMPLAT PELAPORAN PBD TAHUN 5 UNTUK SK DAN SJK 2021.

Templat pelaporan PBD yang baharu untuk Tahun 4 akan digunakan pada tahun 2020 Tahun 5 pada tahun 2021 dan Tahun 6 pada tahun 2022. FORMAT PELAPORAN DSKP KSSR TAHUN 5 - Google Drive. PELAPORAN DSKP KSSR TAHUN 5 - MUZIKxls.

Pelaporan yang bergabung untuk tahun 5 ada. Himpunan Templat Pelaporan PBD Tingkatan 5. Templete pelaporan bilik darjah tahun 5 2021.

Kurikulum terdiri daripada kandungan pedagogi dan pentaksiran. Talib 3 Disember 2016 724 PG. Di dalam template pelaporan PBD ini ia merupakan template.

PELAPORAN DSKP KSSR TAHUN 5 - BAHASA MALAYSIA JULAI 2014xlsx. TEMPLAT PELAPORAN PBD TAHUN 5 SK DAN SJK 2021xls. Pelaksanaannya telah bermula sejak tahun 2011 berdasarkan Surat Siaran Lembaga Peperiksaan Bil.

Jangan lupa share kepada kawan2 ya pada group whasapp dan telegramKlik sahaja button share tersebut. Pelaporan PBD Bahasa Melayu Tingkatan 5 KSSM ini dikongsikan bagi memudahkan para pendidikan dalam melengkapkan penilaian dalam Pentaksiran Bilik Darjah PBD bagi semua mata pelajaran. Klik pada pautan di bawah bagi mata pelajaran melibatkan bahasa.

Templete pelaporan bilik darjah tahun 4 2020. Pelaporan Tahun 5 bahasa Bagi mata pelajaran selain bahasa ada di bawah. Berikut merupakan koleksi templat Pentaksiran Bilik Darjah Tahun 5 Semakan 2017.

Pelaporan DSKP Bahasa Malaysia Tahun 5 Mengikut Kelompok. Templat PBD Sekolah Rendah Kegunaan Tahun 2021 ini saya kongsikan melalui sumber utama iaitu daripada Bahagian Pembangunan Kurikulum Kementerian Pendidikan Malaysia. Muat Turun Download Templat Pelaporan DSKP KSSR Matematik.

Berikut adalah pernyataan bagi kemahiran yang telah dikuasai. Pelaporan tahun 5 selain bahasa. Bahasa Melayu BM Bahasa Inggeris English Matematik Mathematics Sains Science Bahasa Cina.

Pelaksanaannya telah bermula sejak tahun 2011 berdasarkan Surat Siaran Lembaga Peperiksaan Bil. Sila muat turun dari scribd dalam format tersebut MS Excell dan bukan dalam format acrobat. Download Muat Turun Templat Pelaporan PBD Tahun 5 2021 SK dan SJK.

Dapat jimat kertas. PANDUAN MEREKOD PRESTASI MURID 1 Pelaporan Pendidikan Muzik Tahun Lima ini mengandungi lima helaian iaitu. 0 Tarikh Pelaporan.

Kalau ada bergabung lagi bagus. Pelaporan Sejarah Tahun 5. Koleksi Terkini Templat Pelaporan PBD KSSR Tahun 3 SK SJK SJKC SJKT.

Muat Turun Download Pelaporan KSSR Tahun 5. Soalan Peperiksaan Sains Tahun 5 2019. PELAPORAN DSKP KSSR TAHUN 5 - MATEMATIKxlsx.

PBD merupakan sebahagian daripada kurikulum. PELAPORAN DSKP KSSR TAHUN 5 - BAHASA INGGERISxlsx. Bahagian Pembangunan Kurikulum BPK telah membuat penambahbaikan kepada templat pelaporan Pentaksiran Bilik Darjah PBD tahap 1 bagi semua mata pelajaran KSSR Semakan 2017.

5 Nama Guru Sejarah. Kongsi ke Twitter Kongsi ke Facebook Kongsi ke. Dikongsikan template pelaporan offline kssr tahun 5 bagi pelbagai mata pelajaran.

Pelaporan Dskp Kssr Tahun 5 - Bahasa Inggeris. Laporan Murid Individu v. Oleh yang demikian guru-guru hendaklah memastikan templat yang anda gunakan adalah versi terbaru iaitu Versi 30.

NUR SHAFIQUE BIN AKMAL No. Templete pelaporan matematik sains dlp. Soalan Bahasa Melayu Tahun 5 Universiti di Malaysia 2018-2019.

Kongsikan kepada rakan guru. TEMPLATE PELAPORAN KSSR TAHUN 5 Pelaporan secara offline ini adalah dalam format MS Excell. Koleksi Terkini Templat Pelaporan PBD KSSR Tahun 3 Semakan Tahun 2019 untuk Semua Subjek V31 _____ Templat Pelaporan Pentaksiran Bilik Darjah PBD Tahun 4.


Rph Bm Tahun 5 2018 Pdf


Download Muat Turun Templat Pelaporan Pbd Tahun 5 2021 Sk Dan Sjk


Template Offline Pelaporan Sejarah Tahun 5 Sistem Guru Online Academia Edu


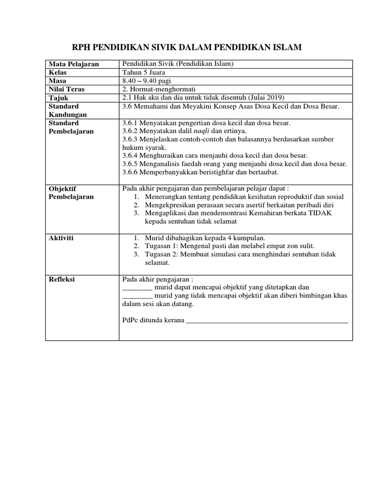
Template Borang Pelaporan Pendidikan Islam Tahun 5


Rph Sivik Tahun 5 Pdf


Himpunan Templat Pelaporan Pbd Tahun 6 Gurubesar My


Koleksi Template Pentaksiran Bilik Darjah Tahun 5 Semakan 2017 My Pendidik


Templat Pelaporan Pbd Tahun 5 Tcer My


Borang Transit Bahasa Melayu Tahun 5 Pdf


Rekod Transit Tahun 5 Bahasa Inggeris


Koleksi Template Pentaksiran Bilik Darjah Tahun 5 Semakan 2017 My Pendidik


Template Pbd Tahun 5 Kssr Semakan Sk Sjk Sumber Pendidikan


Template Offline Pelaporan Ujian Kssr Tahun 5 Semua Subjek


Latihan Bina Ayat Bahagian A Language Malay Grade Level Tahun 4 5 6 School Subject Bahasa Melayu Bm Main Conte Preschool Worksheets Worksheets Workbook


Koleksi Ujian Mac Oti 1 Bahasa Melayu Tahun 1 Hingga Tahun 6 Malay Language Tech Company Logos Education


Templat Pelaporan Pbd Tahun 5 Sk Dan Sjk


Rekod Transit Semua Subjek Pbd


Himpunan Tapak Pelaporan Pentaksiran Bilik Darjah Pbd Yang Telah Dikemas Kini Guru Kini Classroom


Koleksi Terkini Templat Pelaporan Pbd Tahun 1 2 3 4 5 6 Tingkatan 1 2 3 4 5 Bumi Gemilang

Post a Comment

0 Comments

Ad Code